已知各边边长时,梯形面积的若干种求法!
已知各边边长时,梯形面积的若干种求法!
如图,已知梯形上底为5,下底为10,两腰长分别为6和4,请问梯形的面积是多少?

初中常规解法
为叙述方便,标注梯形的各顶点如下:

由于梯形面积公式为:
S=(上底+下底)×高÷2
所以我们独缺梯形的高,故过点D、C分别作底边的垂线,得到下图:

易证DF、CE均为梯形的高h,
在RT△AFD中:
AF²=AD²-DF²=36-h²
在RT△BEC中:
BE²=BC²-CE²=16-h²
所以:
AF²-BE²=(36-h²)-(16-h²)=20
又有AF+BE=AB-CD=5
所以AF-BE=4
即AF=9/2,BE=1/2
所以:

故:

借助三角形的海伦公式
取下底AB的中点G,连接CG、DG。

由于AG∥CD,AG=CD
故四边形AGCD是平行四边形,因此CG=AD=6。
同理可知,DG=CB=4。
由此可分别求出三个三角形的面积,而后求和。
另一方面,由于G是AB的中点,CD长度又是AB的一半,所以易知三个三角形面积相等。
在△AGD中:
p=(6+5+4)÷2=7.5
S△

故

用解析几何方法一试
很容易想到,线段长度实际上可以表示为圆。
延长AD、BC交于H,由于DC∥AB,且DC=1/2 AB知道,DC是△ABH的中位线。
故AH=12,BH=8
所以H是以A为圆心,12为半径的圆上的点,也是以B为圆心,8为半径的圆上的点。

以AB的中点为坐标原点,AB所在直线为x轴,AB的中垂线为y轴建立坐标系。
上述两圆方程为:
(x+5)²+y²=12²
(x-5)²+y²=8²
解之得:

或

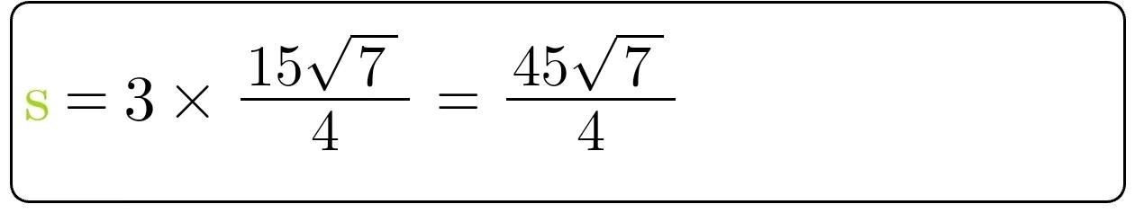
所以△ABH的面积

而梯形面积是△ABH的面积的3/4,故

你还知道,哪些方法呢?






