初中数学(初一)讲与练011:绝对值-零点分段法
初中数学(初一)讲与练011:绝对值-零点分段法

【视频讲解】
“绝对值——零点分段法”知识点视频讲解链接
【知识点归纳】
零点分段法步骤为:

以化简代数式|x+1|+|x-2|为例:
可令x+1=0和x-2=0,分别求得x=-1,x=2,在有理数范围内,零点值x=-1和x=2可将全体有理数分成不重复且不易遗漏的如下三种情况;

(1) 当x<-1时,原式=-(x-1)-(x-2)=-2x+1
(2)当-1≤x<2时,原式=x+1-(x-2)=3
(3)当x≥2时,原式= x+1+x-2=2x-1

【每日一练】
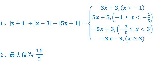
1、化简|x+1|+|x-3|-|5x+1|,并求|x-3|-|5x+1|的最大值
【答案】







