经典化简求值题
经典化简求值题

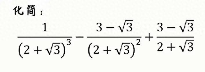
解:原式=(2-√3)³/(2+√3)³(2-√3)³-(3-√3)(2-√3)²/(2+√3)²(2-√3)²+(3-√3)(2-√3)/(2+√3)(2-√3)
=(2-√3)³-(3-√3)(2-√3)²+(3-√3)(2-√3)=(2-√3)²(2-√3-3+√3)+(3-√3)(2-√3)=-(2-√3)²+(3-√3)(2-√3)=(2-√3)(-2+√3+3-√3)=2-√3
经典化简求值题

解:原式=(2-√3)³/(2+√3)³(2-√3)³-(3-√3)(2-√3)²/(2+√3)²(2-√3)²+(3-√3)(2-√3)/(2+√3)(2-√3)
=(2-√3)³-(3-√3)(2-√3)²+(3-√3)(2-√3)=(2-√3)²(2-√3-3+√3)+(3-√3)(2-√3)=-(2-√3)²+(3-√3)(2-√3)=(2-√3)(-2+√3+3-√3)=2-√3
马桶一冲水底座就漏水怎么处理 ?为什么出现漏水现象 马桶底座出现漏水的情况,虽说不想堵塞那样令人讨厌,但也是故障中的一种,需要及时的进行维修。导致...
绿松石多少钱一克?不同品质的绿松石价格是多少? 绿松石仅近年来随着文玩珠宝界热度不断高升,价格也随之水涨船高,很多玩友比较关心的是绿松石的价格。...
龙门县高级中学 走进高级中学 我们还是从前那个少年 追逐生命里光临身边的每道光 让世界因为你的存在变得闪亮 学校概括(School profile) 龙门县高级中学创办于...
警方通报王宝强被举报事件:一场引发热议的纠纷真相渐明 近日,王宝强被举报事件引发了社会的广泛关注和热议。曾经以朴实形象深入人心的王宝强,此次陷入...
加绒卫衣里面掉毛咋办? 冬天喜欢穿卫衣但怕冷,现在有一种加绒加厚的卫衣,自带保暖属性,帮你解决困扰。但加绒卫衣有一个bug,就是很容易掉毛。那么,加...
河北省蓄滞洪区:白洋淀蓄滞洪区之原容城县简介 河北省列入国家蓄滞洪区名录的包括永定河泛区、小清河分洪区、白洋淀、东淀、文安洼、贾口洼、献县泛区、宁...
海军南海舰队原政治部主任——肖平 肖平 肖平(1914—1988),原名肖士魁,河北省定州市人,享年74岁。 1928年考入北平私立弘达中学,1931年加入中国共产主义青...
关于国徽,你了解多少呢? 中华人民共和国国徽是中华人民共和国主权的象征和标志。那你知道它都有哪些元素组成吗?你知道那些元素都代表什么吗? 中华人民...
刚刚武汉下雪啦,好美!他们都在晒 今天傍晚 武汉市区飘起了一片片雪花 2023第一场雪终于来啦! 初雪的武汉是什么样子的? 前方迎来一波新鲜出炉的雪景↓↓...
春节习俗大盘点,探讨一下各个地方不一样的传统文化~ 过年是中国传统文化中最为重要的节日之一,有许多规矩和习俗需要遵守。在过年期间,我们要牢记一些...
梅花艺术团的长扇舞,biubiu甩起来! 梅花艺术团的长扇舞,biubiu甩起来!艺术团团长梁阿姨表示,团员们七点半就到了星海音乐厅附近广场,整个赛事过程中加油...
圆通首家供应链服务中心正式开业 3月25日晚间,圆通发布消息称,在义乌国际商贸城内,圆通首家供应链服务中心正式开业,这是圆通进驻全球专业市场的首个直...
颖儿晒全家福为女儿庆生 颖儿晒出多张全家福,为女儿小月亮庆生。 2月3日,颖儿晒出多张全家福为宝贝女儿小月亮庆祝6岁生日。颖儿和付辛博夫妻俩精心为女儿...
影片——超级无敌精装追女仔2 经典的香港无厘头搞笑片,陈百祥年轻时主演的电影之一。故事就是讲述3个狗仔队上船准备偷拍富豪和女明星,结果阴差阳错的变...
深圳卫视2019-2020《时间的朋友》跨年演讲正在直播 找到自己的小抓手,一步一步往上走! 深圳卫视2019-2020《时间的朋友》跨年演讲正在直播!...
女主超强的星际机甲文,搞笑又苏爽! 《求求了,让我上》 大大的新开文,真的戳中你的笑点!从头笑到尾,不是梦。女主战斗力开文天花板,与队友的互动笑到...
航拍上海泰晤士小镇 2018年6月20日 ,上海,泰晤士小镇位干上海松江新城的核心区域,总占地而积一平方公里,总建筑面积50万平方米,容积率0.5,整体布局体现了...
触手女主播入江闪闪江雨笛微博照片 拒付227万违约金被拘 [闽南网] 【#女主播拒付227万违约金被拘#国内首例 自称“被狗咬了”】20日,@触手直播平台称原平台主播...
埃及西奈举办骆驼比赛 来源:人民网-国际频道 IC Photo版权作品,请勿转载。 IC Photo版权作品,请勿转载。 IC Photo版权作品,请勿转载。 当地时间2023年1月10日,...
学会冥想,唤醒你心中的巨人 学会冥想,唤醒你心中的巨人 无事可做的时候 觉得疲惫的时候 早起的时候 盘腿一坐 开始冥想 山川大河 波涛汹涌 密林深处 花香鸟...